สำนักงานพาณิชย์จังหวัดอุตรดิตถ์
Office of Provincial Commercial Affairs Uttaradit
หน้าหลัก
ข้อมูลทั่วไปจังหวัด
เกี่ยวกับสำนักงาน
โครงสร้างการบริหารสำนักงานปลัดกระทรวงพาณิชย์เชื่อมต่อสำนักงานพาณิชย์จังหวัด
โครงสร้างการบริหารในส่วนจังหวัดเชื่อมต่อสำนักงานพาณิชย์จังหวัด
เขตตรวจราชการกระทรวงพาณิชย์
โครงสร้างบุคลากร
วิสัยทัศน์/ยุทธศาสตร์จังหวัด
ทำเนียบพาณิชย์จังหวัด
เกี่ยวกับกระทรวงพาณิชย์
ประวัติกระทรวงพาณิชย์
โครงสร้าง/ภารกิจ/หน่วยงานในสังกัด
โครงสร้างกระทรวง
ภารกิจกระทรวง
หน่วยงานในสังกัด
ยุทธศาสตร์ นโยบายและแผนงานกระทรวงพาณิชย์
วิสัยทัศน์ พันธกิจ
ค่านิยมหลักกระทรวงพาณิชย์
แผนปฏิบัติราชการ
แผนแม่บทกระทรวงพาณิชย์
แผนการบริหารราชการแผ่นดิน
นโยบายการบริหารจัดการด้าน ICT
ผลงานกระทรวงพาณิชย์
รายงานประจำปี
ยุทธศาสศาสตร์ช่ติและการปฏิรูปประเทศ
ผู้บริหารระดับสูงฝ่ายข้าราชการการเมือง
ผู้บริหารระดับสูงฝ่ายข้าราชการประจำ
ผู้บริหารระดับสูงกระทรวงพาณิชย์
ผู้บริหารหน่วยงาน
โฆษกกระทรวงพาณิชย์
ผู้บริหารเทคโนโลยีสารสนเทศระดับสูง
กฎบัตรการตรวจสอบภายใน
คุณธรรม จริยธรรม
ทำเนียบผู้ได้รับรางวัลเพชรพาณิชย์
ข่าวประกาศ
ข่าวประชาสัมพันธ์
ข่าวเศรษฐกิจ
ข่าวกิจกรรม
ประกาศกระทรวงพาณิชย์
ประกาศกรมการค้าภายใน
ประกาศกรมการค้าต่างประเทศ
ประกาศกรมทรัพย์สินทางปัญญา
ประกาศกรมเจรจาการค้าระหว่างประเทศ
ประกาศกรมพัฒนาธุรกิจการค้า
ผลการดำเนินงาน
ประกาศจัดซื้อจัดจ้าง
ข้อมูลข่าวสารเพื่อสร้างการรับรู้สู่่ชุมชน
ข่าวกระทรวงพาณิชย์
สรุปสถานการณ์เศรษฐกิจการค้าสำคัญ ประจำสัปดาห์
ข้อมูลเศรษฐกิจการค้า
ข้อมูลพื้นฐานจังหวัด
ข้อมูล Factsheet จังหวัด
บริการข่าวตลาด
ข้อมูลการค้าชายแดน/ผ่านแดน
ข้อมูลเศรษฐกิจการจังหวัดอุตรดิตถ์รายเดือน
ข้อมูล Fact Sheet ธุรกิจจังหวัดอุตรดิตถ์
ดัชนีราคาผู้บริโภคของจังหวัดอุตรดิตถ์
สินค้ายอดนิยม/สินค้าขายดี
บริการออนไลน์
สำนักงานปลัดกระทรวงพาณิชย์
เว็บไซต์กระทรวงพาณิชย์
ระบบจองคิวออนไลน์
Moc Zero Corruption
One Stop Service
Moc account
Moc Event
Platform เกษตรผลิต พาณิชย์ตลาด
ระบบแจ้งร้องเรียน (สำหรับประชาชน)
บริการสำหรับเจ้าหน้าที่
ระบบงานสารบรรณอิเล็กทรอนิกส์
ระบบสารสนเทศทรัพยากรบุคคล
ระบบลงเวลาปฏิบัติงาน
ระบบบริหารจัดการการให้บริการประชุมทางไกลกระทรวงพาณิชย์
ระบบติดตามประเมินผลโครงการ (Monitoring and Evaluate System)
ระบบรับแจ้งปัญหาของระบบเทคโนโลยีสารสนเทศ
ระบบ Web-mail Moc
บริการบัญชีผู้ใช้งานกลางกระทรวงพาณิชย์ (MOC Account)
คู่มือการปฏิบัติงานสำหรับเจ้าหน้าที่
คู่มือแนวทางการปฏิบัติงานเจ้าหน้าที่
แบบฟอร์มรายงานพิเศษ
วินัยข้าราชการ
มาตรฐานทางจริยธรรม
บริการออนไลน์หน่วยงานกระทรวงพาณิชย์
เว็บไซต์หน่วยงานกระทรวงพาณิชย์
ITA สำนักงานพาณิชย์จังหวัด
คำถามที่พบบ่อย
ประกาศจังหวัด
หน้าหลัก
ประกาศจังหวัด
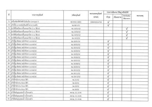
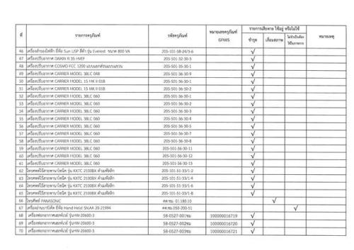
การขายทอดตลาดพัสดุชำรุด เสื่อมสภาพหรือไม่จำเป็นต้องใช้ในราชการต่อไป ประจำปีงบประมาณ พ.ศ. 2565 ของสำนักงานพาณิชย์จังหวัดเชียงใหม่
การขายทอดตลาดพัสดุชำรุด เสื่อมสภาพหรือไม่จำเป็นต้องใช้ในราชการต่อไป ประจำปีงบประมาณ พ.ศ. 2565 ของสำนักงานพาณิชย์จังหวัดเชียงใหม่
13/06/2566 |
849
|
รูปภาพ
คะแนนโหวต :
ให้คะแนน